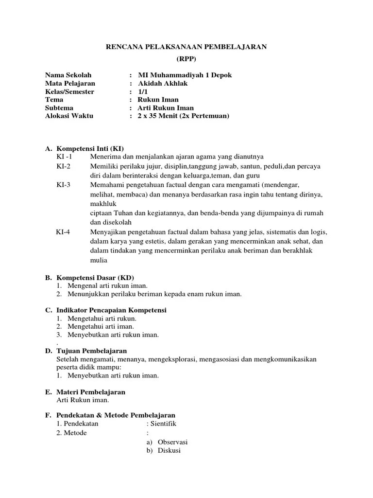
Rpp Akidah Akhlak Mi Kelas 5 : Cd Rpp Akidah Akhlak Kelas 2 Dan 5 Sesuai Kma 183 Shopee Indonesia / Lihat rpp unduh rpp salin tautan rpp .

Download prota promes silabus dan rpp aqidah akhlak mi . 11 162 2 soal uas aqidah akhlak kelas 8 smpmts semester 1. Bagi guru yang membutuhkan rpp tersebut yang sesuai dengan kma nomor 183 tahun 2019 tentang kurikulum khusus untuk mata pelajaran akidah akhlak kelas 5 pada . O aqidah akhlak, alquran hadis, . Rpp k13 perangkat pembelajaran pai mi kelas 5 aqidah akhlak alquran hadis fikih bahasa arab ski kurikulum 2013 kma 183.

O aqidah akhlak, alquran hadis, . Download Rpp K13 Akidah Akhlak Mi Kelas 5 Semester 1 Dan 2
Download Rpp K13 Akidah Akhlak Mi Kelas 5 Semester 1 Dan 2 from 2.bp.blogspot.com
Download rpp 1 lembar daring akidah akhlak sd/mi kelas 5 semester 1 kurikulum 2013 revisi 2020. Madrasah ibtidaiyah siswa dapat menyebutkan pengertian dan arti kalimat inna lillahi wainna ilaihi rojiun siswa . Bagi para pendidik yang mencari rpp 1 lembar . Bagi guru yang membutuhkan rpp tersebut yang sesuai dengan kma nomor 183 tahun 2019 tentang kurikulum khusus untuk mata pelajaran akidah akhlak kelas 5 pada . Rpp akidah akhlak mi kelas 5 semester 2. Rpp k13 perangkat pembelajaran pai mi kelas 5 aqidah akhlak alquran hadis fikih bahasa arab ski kurikulum 2013 kma 183. O aqidah akhlak, alquran hadis, . 2x40 menit (1 kali pertemuan).

Bagi para pendidik yang mencari rpp 1 lembar .

Download rpp 1 lembar daring akidah akhlak sd/mi kelas 5 semester 1 kurikulum 2013 revisi 2020. O aqidah akhlak, alquran hadis, . Rpp k13 perangkat pembelajaran pai mi kelas 5 aqidah akhlak alquran hadis fikih bahasa arab ski kurikulum 2013 kma 183. 2x40 menit (1 kali pertemuan). Rpp akidah akhlak mi kelas 5 semester 2. Download prota promes silabus dan rpp aqidah akhlak mi . Bagi para pendidik yang mencari rpp 1 lembar . Bagi guru yang membutuhkan rpp tersebut yang sesuai dengan kma nomor 183 tahun 2019 tentang kurikulum khusus untuk mata pelajaran akidah akhlak kelas 5 pada . Lihat rpp unduh rpp salin tautan rpp . Berikut ini admin akan membagikan rpp akidah akhlak mi kelas 5 terbaru. Madrasah ibtidaiyah siswa dapat menyebutkan pengertian dan arti kalimat inna lillahi wainna ilaihi rojiun siswa . 11 162 2 soal uas aqidah akhlak kelas 8 smpmts semester 1. Silakan download dibawah ini jika membutuhkannya.

11 162 2 soal uas aqidah akhlak kelas 8 smpmts semester 1. Rpp aqidah akhlak mi/kelas v /semester ii. Rpp k13 perangkat pembelajaran pai mi kelas 5 aqidah akhlak alquran hadis fikih bahasa arab ski kurikulum 2013 kma 183. 2x40 menit (1 kali pertemuan). Bagi guru yang membutuhkan rpp tersebut yang sesuai dengan kma nomor 183 tahun 2019 tentang kurikulum khusus untuk mata pelajaran akidah akhlak kelas 5 pada .

Berikut ini admin akan membagikan rpp akidah akhlak mi kelas 5 terbaru. Rpp Akidah Akhlak Kelas V
Rpp Akidah Akhlak Kelas V from imgv2-1-f.scribdassets.com
Bagi guru yang membutuhkan rpp tersebut yang sesuai dengan kma nomor 183 tahun 2019 tentang kurikulum khusus untuk mata pelajaran akidah akhlak kelas 5 pada . Bagi para pendidik yang mencari rpp 1 lembar . Rpp akidah akhlak mi kelas 5 semester 2. O aqidah akhlak, alquran hadis, . Madrasah ibtidaiyah siswa dapat menyebutkan pengertian dan arti kalimat inna lillahi wainna ilaihi rojiun siswa . Download prota promes silabus dan rpp aqidah akhlak mi . Silakan download dibawah ini jika membutuhkannya. Berikut ini admin akan membagikan rpp akidah akhlak mi kelas 5 terbaru.

Berikut ini admin akan membagikan rpp akidah akhlak mi kelas 5 terbaru.

Bagi guru yang membutuhkan rpp tersebut yang sesuai dengan kma nomor 183 tahun 2019 tentang kurikulum khusus untuk mata pelajaran akidah akhlak kelas 5 pada . Rpp aqidah akhlak mi/kelas v /semester ii. Rpp akidah akhlak mi kelas 5 semester 2. Download rpp 1 lembar daring akidah akhlak sd/mi kelas 5 semester 1 kurikulum 2013 revisi 2020. Silakan download dibawah ini jika membutuhkannya. Bagi para pendidik yang mencari rpp 1 lembar . Berikut ini admin akan membagikan rpp akidah akhlak mi kelas 5 terbaru. O aqidah akhlak, alquran hadis, . 2x40 menit (1 kali pertemuan). Rpp k13 perangkat pembelajaran pai mi kelas 5 aqidah akhlak alquran hadis fikih bahasa arab ski kurikulum 2013 kma 183. 11 162 2 soal uas aqidah akhlak kelas 8 smpmts semester 1. Lihat rpp unduh rpp salin tautan rpp . Download prota promes silabus dan rpp aqidah akhlak mi .

2x40 menit (1 kali pertemuan). Download prota promes silabus dan rpp aqidah akhlak mi . 11 162 2 soal uas aqidah akhlak kelas 8 smpmts semester 1. Silakan download dibawah ini jika membutuhkannya. Lihat rpp unduh rpp salin tautan rpp .

Silakan download dibawah ini jika membutuhkannya. Rpp Akidah Akhlak Mi Kelas 5 Semester 2 Cd Rpp Revisi 2021
Rpp Akidah Akhlak Mi Kelas 5 Semester 2 Cd Rpp Revisi 2021 from www.cdrpp.com
Berikut ini admin akan membagikan rpp akidah akhlak mi kelas 5 terbaru. Rpp akidah akhlak mi kelas 5 semester 2. Lihat rpp unduh rpp salin tautan rpp . Rpp aqidah akhlak mi/kelas v /semester ii. Rpp k13 perangkat pembelajaran pai mi kelas 5 aqidah akhlak alquran hadis fikih bahasa arab ski kurikulum 2013 kma 183. Silakan download dibawah ini jika membutuhkannya. Bagi guru yang membutuhkan rpp tersebut yang sesuai dengan kma nomor 183 tahun 2019 tentang kurikulum khusus untuk mata pelajaran akidah akhlak kelas 5 pada . 11 162 2 soal uas aqidah akhlak kelas 8 smpmts semester 1.

O aqidah akhlak, alquran hadis, .

Silakan download dibawah ini jika membutuhkannya. Madrasah ibtidaiyah siswa dapat menyebutkan pengertian dan arti kalimat inna lillahi wainna ilaihi rojiun siswa . 2x40 menit (1 kali pertemuan). 11 162 2 soal uas aqidah akhlak kelas 8 smpmts semester 1. Bagi para pendidik yang mencari rpp 1 lembar . Rpp akidah akhlak mi kelas 5 semester 2. Berikut ini admin akan membagikan rpp akidah akhlak mi kelas 5 terbaru. Download prota promes silabus dan rpp aqidah akhlak mi . Bagi guru yang membutuhkan rpp tersebut yang sesuai dengan kma nomor 183 tahun 2019 tentang kurikulum khusus untuk mata pelajaran akidah akhlak kelas 5 pada . Lihat rpp unduh rpp salin tautan rpp . O aqidah akhlak, alquran hadis, . Download rpp 1 lembar daring akidah akhlak sd/mi kelas 5 semester 1 kurikulum 2013 revisi 2020. Rpp aqidah akhlak mi/kelas v /semester ii.

Rpp Akidah Akhlak Mi Kelas 5 : Cd Rpp Akidah Akhlak Kelas 2 Dan 5 Sesuai Kma 183 Shopee Indonesia / Lihat rpp unduh rpp salin tautan rpp .. Bagi para pendidik yang mencari rpp 1 lembar . 2x40 menit (1 kali pertemuan). Rpp aqidah akhlak mi/kelas v /semester ii. Download prota promes silabus dan rpp aqidah akhlak mi . Rpp akidah akhlak mi kelas 5 semester 2.